题目内容
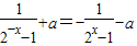
若f(x)=
【答案】分析:由题意可得f(-x)=-f(x)对于任意的x≠0都成立,代入已知函数可求a的值
解答:解:∵f(x)=
+a是奇函数
∴f(-x)=-f(x)对于任意的x≠0都成立
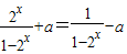
∴
∴
∴
=1
∴
故答案为:
点评:本题主要考查了奇函数的定义的应用及基本运算,属于基础试题,一般在原点有意义时用原点处的函数值为0求参数,若在原点处函数无定义,则如本题解法由定义建立方程求参数
解答:解:∵f(x)=
∴f(-x)=-f(x)对于任意的x≠0都成立
∴
∴
∴
∴
故答案为:
点评:本题主要考查了奇函数的定义的应用及基本运算,属于基础试题,一般在原点有意义时用原点处的函数值为0求参数,若在原点处函数无定义,则如本题解法由定义建立方程求参数
练习册系列答案
相关题目