题目内容
已知数列{an}与{bn}满足:
,n∈N*,且a1=2,a2=4,
(Ⅰ)求a3,a4,a5的值;
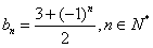
(Ⅱ)设cn=a2n-1+a2n+1,n∈N*,证明:{cn}是等比数列;
(Ⅲ)设Sk=a2+a4+…+a2k,k∈N*,证明:
.
(Ⅰ)求a3,a4,a5的值;
(Ⅱ)设cn=a2n-1+a2n+1,n∈N*,证明:{cn}是等比数列;
(Ⅲ)设Sk=a2+a4+…+a2k,k∈N*,证明:
(Ⅰ)解:由
,可得
,
又
,
当n=1时,
,由
,可得
;
当n=2时,
,可得
;
当n=3时,
,可得
。
(Ⅱ)证明:对任意n∈N*,
, ①
, ②
, ③
②-③,得
, ④
将④代入①,可得
,
即
,
又
,
故
,
因此
,所以{cn}是等比数列。
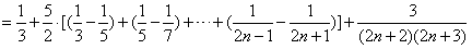
(Ⅲ)证明:由(Ⅱ)可得
,
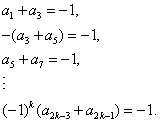
于是,对任意k∈N*且k≥2,有

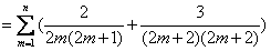
将以上各式相加,得
,
即
,
此式当k=1时也成立;
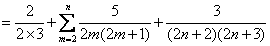
由④式得
,
从而
,
,
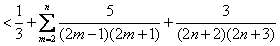
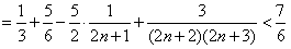
所以,对任意n∈N*,n≥2,






,
对于n=1,不等式显然成立。
又
当n=1时,
当n=2时,
当n=3时,
(Ⅱ)证明:对任意n∈N*,
②-③,得
将④代入①,可得
即
又
故
因此
(Ⅲ)证明:由(Ⅱ)可得
于是,对任意k∈N*且k≥2,有
将以上各式相加,得
即
此式当k=1时也成立;
由④式得
从而
所以,对任意n∈N*,n≥2,
对于n=1,不等式显然成立。
练习册系列答案
相关题目