题目内容
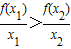
已知函数f(x)=A.
B.
C.
D.无法判断
【答案】分析:先求出f(x)=
,再判断出
=
是减函数,由此能得到结果.
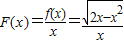
解答:解:∵f(x)=
=
,
∴
=
是减函数,
∵0<x1<x2<1,
∴
.
故选A.
点评:本题考查函数的单调性的判断与证明,是基础题.解题时要认真审题,仔细解答.
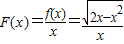
解答:解:∵f(x)=
∴
∵0<x1<x2<1,
∴
故选A.
点评:本题考查函数的单调性的判断与证明,是基础题.解题时要认真审题,仔细解答.
练习册系列答案
相关题目
已知函数f(x)=x2-bx的图象在点A(1,f(1))处的切线l与直线3x-y+2=0平行,若数列{
}的前n项和为Sn,则S2010的值为( )
| 1 |
| f(n) |
A、
| ||
B、
| ||
C、
| ||
D、
|