题目内容
设函数f(x)=x3+ax2+bx+c在x=1处取得极值-2,试用c表示a和b,并求f(x)的单调区间。
解:依题意有
,而
,
故
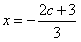
,解得
,
从而
,
令
,得x=1或
,
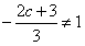
由于f(x)在x=1处取得极值,故
,即c≠-3,
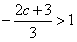
(1)若
<1,即c>-3,则当
时,
;
当
时,
;当
时,
;
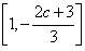
从而f(x)的单调增区间为
;单调减区间为
;
(2)若
,即c<-3,同上可得,f(x)的单调增区间为
;
单调减区间为
。
故
从而
令
由于f(x)在x=1处取得极值,故
(1)若
当
从而f(x)的单调增区间为
(2)若
单调减区间为
练习册系列答案
相关题目
设函数f(x)=x3-(
)x-2,则其零点所在区间为( )
| 1 |
| 2 |
| A、(0,1) |
| B、(1,2) |
| C、(2,3) |
| D、(3,4) |