题目内容

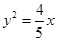
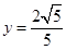
已知两曲线参数方程分别为(0≤θ<π)和(t∈R),它们的交点坐标为             

 

【答案】

(1,

【解析】

试题分析:由  (0≤θ<π) 消去参数后的普通方程为,由 (t∈R)消去参数后的普通方程为,联立两个曲线的普通方程得,∴,所以它们的交点坐标为

考点:抛物线的参数方程;椭圆的参数方程.

 

练习册系列答案
相关题目

违法和不良信息举报电话:027-86699610 举报邮箱:58377363@163.com

精英家教网