题目内容
已知椭圆(I)求椭圆的方程;
(Ⅱ)过左焦点F的直线与椭圆分别交于A、B两点,若三角形OAB的面积为
【答案】分析:(Ⅰ)根据椭圆右顶点与右焦点的距离为
,短轴长为
,可得
,由此,即可求得椭圆方程;
(Ⅱ)当直线AB与x轴垂直时,
,此时
不符合题意;当直线AB与x轴不垂直时,设直线 AB的方程为:y=k(x+1),代入消去y得,进而可求三角形的面积,利用
,即可求出直线AB的方程.
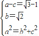
解答:解:(Ⅰ)由题意,
,解得
.
即椭圆方程为
(Ⅱ)当直线AB与x轴垂直时,
,此时
不符合题意,故舍掉;
当直线AB与x轴不垂直时,设直线 AB的方程为:y=k(x+1),代入消去y得:(2+3k2)x2+6k2x+(3k2-6)=0.
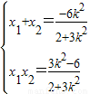
设A(x1,y1),B(x2,y2),则
,所以
.
原点到直线的AB距离
,
所以三角形的面积
.
由
可得k2=2,∴
,
所以直线
或
.
点评:本题考查椭圆的标准方程,考查直线与椭圆的位置关系,联立直线与椭圆方程,利用韦达定理确定三角形的面积是关键.
(Ⅱ)当直线AB与x轴垂直时,
解答:解:(Ⅰ)由题意,
即椭圆方程为
(Ⅱ)当直线AB与x轴垂直时,
当直线AB与x轴不垂直时,设直线 AB的方程为:y=k(x+1),代入消去y得:(2+3k2)x2+6k2x+(3k2-6)=0.
设A(x1,y1),B(x2,y2),则
原点到直线的AB距离
所以三角形的面积
由
所以直线
点评:本题考查椭圆的标准方程,考查直线与椭圆的位置关系,联立直线与椭圆方程,利用韦达定理确定三角形的面积是关键.
练习册系列答案
相关题目