题目内容

已知等差数列满足:的前项和为

(Ⅰ)求

(Ⅱ)令,求数列的前项和

 

【答案】

(Ⅰ),;(Ⅱ).

【解析】

试题分析:(Ⅰ)因为数列为等差数列,可由等差数列的通项公式,可将已知条件,转化为关于首项,公差的二元一次方程,求出的值,从而求出通项及前;(Ⅱ)由(Ⅰ)得,所以可得数列的通项,观察其通项特点,可采用裂项相消法来求其前项和(裂项相消法在求前项和中常用的一种方法,其特点是通项公式可裂开成两项之差,相加后可以消掉中间项).

试题解析:(Ⅰ)设等差数列的首项为,公差为

由于

所以,解得.

由于,

所以.

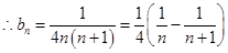
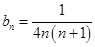
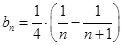
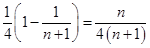
(Ⅱ)因为,所以.

因此=.

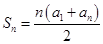
所以数列的前项和.

考点:1.等差数列;2.数列前项和.

 

练习册系列答案
相关题目

违法和不良信息举报电话:027-86699610 举报邮箱:58377363@163.com

精英家教网