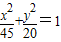
题目内容
已知F1,F2是椭圆(1)求△MF1F2的周长;
(2)求点M的坐标.
【答案】分析:(1)先根据椭圆的方程得出长半轴的长,进而得出焦距的长,再由椭圆的定义可得△MF1F2的周长;
(2)设点M坐标为(x,y),在Rt△F1PF2中,由勾股定理结合椭圆的定义,结合三角形的面积可解得y,再代入椭圆的方程,从而求得点M的坐标.
解答:解:椭圆
中,长半轴
,焦距
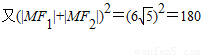
(1)根据椭圆定义,
所以,△MF1F2的周长为
(2)设点M坐标为(x,y)
由MF1⊥MF2得,
,
,
∴

∵M是椭圆上的第一象限内的点,
∴点M坐标为(3,4).
点评:本题考查椭圆的简单性质和定义,以及勾股定理的应用,属于基础题.
(2)设点M坐标为(x,y),在Rt△F1PF2中,由勾股定理结合椭圆的定义,结合三角形的面积可解得y,再代入椭圆的方程,从而求得点M的坐标.
解答:解:椭圆
(1)根据椭圆定义,
所以,△MF1F2的周长为
(2)设点M坐标为(x,y)
由MF1⊥MF2得,
∴
∵M是椭圆上的第一象限内的点,
∴点M坐标为(3,4).
点评:本题考查椭圆的简单性质和定义,以及勾股定理的应用,属于基础题.
练习册系列答案
相关题目