题目内容
已知函数f(x)=x3+ax2-(2a+3)x+a2(a∈R)。
(1)若函数f(x)在区间(1,+∞)上有极小值点,求实数a的取值范围;
(2)若当x∈[-1,1]时,f(x)>0,求实数a的取值范围。
(1)若函数f(x)在区间(1,+∞)上有极小值点,求实数a的取值范围;
(2)若当x∈[-1,1]时,f(x)>0,求实数a的取值范围。
解:(1))f '(x)= 3x2+2ax-(2a+3)=(3x+2a+3)(x-1),
令f'(x)=0,得x=1或
使函数f(x)在区间(1,+∞)上有极小值点,则
解得a<-3;
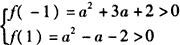
(2)由题意知,x∈[-1,1]时,f(x)min>0
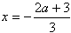
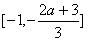
①当
时,即a≤-3时f(x)在x∈[ -1,1]上单调递增,

得a>-1或a<-2,由此得:a≤-3;
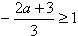
②当
时,即-3<a<0,f(x)在
上为增函数,
在
上为减函数,所以
得
a>2或a<-2
由此得-3<a<-2;
③当
时,即a≥0,f(x)在x∈[-1,1]上为减函数,
所以
得a>2或a<-1
由此得a>2
由①②③得实数a的取值范围为a>2或a<-2。
令f'(x)=0,得x=1或
使函数f(x)在区间(1,+∞)上有极小值点,则
解得a<-3;
(2)由题意知,x∈[-1,1]时,f(x)min>0
①当
得a>-1或a<-2,由此得:a≤-3;
②当
在
得
由此得-3<a<-2;
③当
所以
得a>2或a<-1
由此得a>2
由①②③得实数a的取值范围为a>2或a<-2。
练习册系列答案
相关题目
| π |
| 2 |
A、f(x)=2sin(πx+
| ||
B、f(x)=2sin(2πx+
| ||
C、f(x)=2sin(πx+
| ||
D、f(x)=2sin(2πx+
|