题目内容
已知函数f(x)=
【答案】分析:函数f(x)=
mx2+lnx-2x在定义域(x>0)内是增函数?
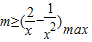
≥0?
对于任意x>0.?
.利用导数即可得出.
解答:解:∵函数f(x)=
mx2+lnx-2x在定义域(x>0)内是增函数,∴
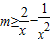
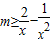
≥0,化为
.
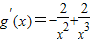
令g(x)=
,
=-
,解g′(x)>0,得0<x<1;解g′(x)<0,得x>1.
因此当x=1时,g(x)取得最大值,g(1)=1.
∴m≥1.
故答案为[1,+∞).
点评:正确吧问题等价转化、利用导数研究函数的单调性、极值与最值是解题的关键.
解答:解:∵函数f(x)=
令g(x)=
因此当x=1时,g(x)取得最大值,g(1)=1.
∴m≥1.
故答案为[1,+∞).
点评:正确吧问题等价转化、利用导数研究函数的单调性、极值与最值是解题的关键.
练习册系列答案
相关题目