题目内容
.
.
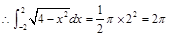
【解析】
试题分析:的几何意义为圆即上半圆的面积,.
考点:定积分的计算.
抛物线在点的切线方程是____________
设 .
(1)若求a的值;
(2)若,求a的值;
已知实数满足,,试确定的最大值.
已知,求下列各式的值:
(Ⅰ);
(Ⅱ).
已知点、、不在同一条直线上,点为该平面上一点,且,则( )
A.点P在线段AB上 B.点P在线段AB的反向延长线上
C.点P在线段AB的延长线上 D.点P不在直线AB上
如图,甲船以每小时海里的速度向正北方航行,乙船按固定方向匀速直线航行,当甲船位于处时,乙船位于甲船的北偏西方向的处,此时两船相距海里,当甲船航行分钟到达处时,乙船航行到甲船的北偏西方向的处,此时两船相距海里,问乙船每小时航行多少海里?
在各项都为正数的等比数列中,首项为3,前3项和为21,则等于( )
A.15 B.12 C.9 D.6
设函数.若从区间内随机选取一个实数,则所选取的实数满足的概率为( )
(A) (B) (C) (D)