题目内容
已知数列{an}的各项均为整数,其前6项依次构成等比数列,且从第5项起依次构成等差数列.设数列{an}的前n项和为Sn,且a4=4,a8=-1.(1)求满足Sn<0的n的最小值;
(2)是否存在正整数m,使得am•am+2+am-am+2=1成立?若存在,求出m的值;若不存在,说明理由.
【答案】分析:(1)先确定数列前6项的公比,等差数列的公差,求得数列的和,利用Sn<0,即可求得结论;
(2)假设存在正整数m,使得am•am+2+am-am+2=1成立,则(am-1)(am+2+1)=0,由此可得结论.
解答:解:(1)设数列前6项的公比为q,则a5=4q,a6=4q2,
∴等差数列的公差为4q2-4q
∵a8=-1,∴4q+3(4q2-4q)=-1
∴12q2-8q+1=0
∴q=
或q=
∵数列{an}的各项均为整数,
∴q=
,
∴等差数列的公差为-1
∴当n≤6时,an=26-n,当n≥7时,an=7-n,
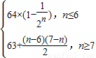
∴Sn=
若
,则n≥18
∴满足Sn<0的n的最小值为18;
(2)假设存在正整数m,使得am•am+2+am-am+2=1成立,则(am-1)(am+2+1)=0
∴am=1或am+2=-1
∴m=6.
点评:本题考查等差数列与等比数列的综合,考查数列的求和,考查学生分析解决问题的能力,属于中档题.
(2)假设存在正整数m,使得am•am+2+am-am+2=1成立,则(am-1)(am+2+1)=0,由此可得结论.
解答:解:(1)设数列前6项的公比为q,则a5=4q,a6=4q2,
∴等差数列的公差为4q2-4q
∵a8=-1,∴4q+3(4q2-4q)=-1
∴12q2-8q+1=0
∴q=
∵数列{an}的各项均为整数,
∴q=
∴等差数列的公差为-1
∴当n≤6时,an=26-n,当n≥7时,an=7-n,
∴Sn=
若
∴满足Sn<0的n的最小值为18;
(2)假设存在正整数m,使得am•am+2+am-am+2=1成立,则(am-1)(am+2+1)=0
∴am=1或am+2=-1
∴m=6.
点评:本题考查等差数列与等比数列的综合,考查数列的求和,考查学生分析解决问题的能力,属于中档题.
练习册系列答案
相关题目