题目内容

已知等差数列满足:的前n项和为

(1)求

(2)令,求数列的前n项和

 

【答案】

(1);(2).

【解析】

试题分析:(1)等差数列问题常可转化为其基本量首项和公差的问题,这是最基本的思路,但有时如果充分利用等差数列的性质,可能达到简化计算的目的,本题可用首项和公差表示,解之即得首项和公差,然后再用等差数列的通项公式和前项的和公式求出结果;(2)把(1)中的结果代入,再根据其特征选择合适的方法求前n项和,本题是利用裂项相消法求和.

试题解析:(1)设等差数列的首项为,公差为,                     1分

,解得.                                5分

由于,所以.       7分

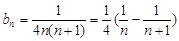
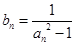
(2)因为,所以,因此. 9分

,  13分

所以数列的前n项和.                                   14分

考点:等差数列的通项公式、前n项和的公式、裂项相消法.

 

练习册系列答案
相关题目

违法和不良信息举报电话:027-86699610 举报邮箱:58377363@163.com

精英家教网