题目内容
探究函数| x | … | 0.5 | 1 | 1.5 | 1.7 | 1.9 | 2 | 2.1 | 2.2 | 2.3 | 3 | 4 | 5 | 7 | … |
| y | … | 16 | 10 | 8.34 | 8.1 | 8.01 | 8 | 8.01 | 8.04 | 8.08 | 8.6 | 10 | 11.6 | 15.14 | … |
(1)函数
(2)证明:函数
(3)思考:函数
【答案】分析:(1)利用基本不等式,可得当且仅当x=2时,函数
的最小值为8.由此可得函数在(0,+∞)上的单调增区间,得到答案;
(2)设x1、x2∈(0,2)且x1<x2,利用作差、因式分解、判断符号的方法加以证明可得f(x1)>f(x2),结合函数单调性的定义,可得函数在(0,2)上为减函数;
(3)根据函数在(0,+∞)上的单调性与最值,结合函数在{x|x≠0}上为奇函数,即可得到当x<0时函数有最大值为-4.
解答:解:(1)∵x>0,∴
=8
当且仅当x=2时,函数
的最小值为8
由此可得函数在区间(0,2)上递减;在区间(2,+∞)上递增
故答案为:(2,+∞),2,4.…(4分)
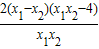
(2)证明:设x1,x2是区间(0,2)上的任意两个数,且x1<x2,可得

=
=
∵x1<x2且x1,x2∈(0,2),可得x1-x2<0,x1x2-4<0,
∴f(x1)-f(x2)>0,即f(x1)>f(x2)
由此可得函数在(0,2)上为减函数.(10分)
(3)根据函数在{x|x≠0}上为奇函数,且在(0,+∞)上有最小值4,可得如下结论:
函数
,当x<0时,有最大值
当x=-2时,ymax=-4.(12分)
点评:本题给出双曲型函数,求函数的单调区间与最值.着重考查了基本不等式求最值、用定义证明函数的单调性等知识,属于中档题.
(2)设x1、x2∈(0,2)且x1<x2,利用作差、因式分解、判断符号的方法加以证明可得f(x1)>f(x2),结合函数单调性的定义,可得函数在(0,2)上为减函数;
(3)根据函数在(0,+∞)上的单调性与最值,结合函数在{x|x≠0}上为奇函数,即可得到当x<0时函数有最大值为-4.
解答:解:(1)∵x>0,∴
当且仅当x=2时,函数
由此可得函数在区间(0,2)上递减;在区间(2,+∞)上递增
故答案为:(2,+∞),2,4.…(4分)
(2)证明:设x1,x2是区间(0,2)上的任意两个数,且x1<x2,可得
=
=
∵x1<x2且x1,x2∈(0,2),可得x1-x2<0,x1x2-4<0,
∴f(x1)-f(x2)>0,即f(x1)>f(x2)
由此可得函数在(0,2)上为减函数.(10分)
(3)根据函数在{x|x≠0}上为奇函数,且在(0,+∞)上有最小值4,可得如下结论:
函数
当x=-2时,ymax=-4.(12分)
点评:本题给出双曲型函数,求函数的单调区间与最值.着重考查了基本不等式求最值、用定义证明函数的单调性等知识,属于中档题.
练习册系列答案
相关题目
探究函数
的最小值,并确定取得最小值时x的值.列表如下:
x | … | 0.5 | 1 | 1.5 | 1.7 | 1.9 | 2 | 2.1 | 2.2 | 2.3 | 3 | 4 | 5 | 7 | … |
y | … | 8.5 | 5 | 4.17 | 4.05 | 4.005 | 4 | 4.005 | 4.02 | 4.04 | 4.3 | 5 | 4.8 | 7.57 | … |
请观察表中y值随x值变化的特点,完成以下的问题.
函数
在区间(0,2)上递减;
函数
在区间 上递增.
当
时,
.
证明:函数
在区间(0,2)递减.
思考:
函数探究函数
的最小值,并确定取得最小值时x的值.列表如下:
x | … | 0.5 | 1 | 1.5 | 1.7 | 1.9 | 2 | 2.1 | 2.2 | 2.3 | 3 | 4 | 5 | 7 | … |
y | … | 8.5 | 5 | 4.17 | 4.05 | 4.005 | 4 | 4.005 | 4.02 | 4.04 | 4.3 | 5 | 5.8 | 7.57 | … |
请观察表中y值随x值变化的特点,完成以下的问题.
(1)函数
在区间(0,2)上递减,在区间 上递增. 当
时,
.
(2)证明:函数
在区间(0,2)递减.
(3)思考?函数
时有最值吗?是最大值还是最小值?此时x为何值?(直接回答结果,不需证明)
探究函数
的最小值,并确定取得最小值时x的值.列表如下:
请观察表中y值随x值变化的特点,完成以下的问题.
函数
在区间(0,2)上递减;
(1)函数
在区间______上递增.当x=______时,y最小=______.
(2)证明:函数
在区间(0,2)递减.
(3)思考:函数
有最值吗?如有,是最大值还是最小值?此时x为何值?(直接回答结果,不需证明).
| x | … | 0.5 | 1 | 1.5 | 1.7 | 1.9 | 2 | 2.1 | 2.2 | 2.3 | 3 | 4 | 5 | 7 | … |
| y | … | 8.5 | 5 | 4.17 | 4.05 | 4.005 | 4 | 4.005 | 4.02 | 4.04 | 4.3 | 5 | 5.8 | 7.57 | … |
函数
(1)函数
(2)证明:函数
(3)思考:函数
探究函数
的最小值,并确定取得最小值时x的值.列表如下:
请观察表中y值随x值变化的特点,完成以下的问题.
(1)函数
在区间(0,2)上递减,函数
在区间______上递增;
(2)函数
,当x=______时,y最小=______;
(3)函数
时,有最值吗?是最大值还是最小值?此时x为何值?(直接回答结果,不需证明)
| x | … | 0.5 | 1 | 1.5 | 1.7 | 1.9 | 2 | 2.1 | 2.2 | 2.3 | 3 | 4 | 5 | 7 | … |
| y | … | 8.5 | 5 | 4.17 | 4.05 | 4.005 | 4 | 4.005 | 4.002 | 4.04 | 4.3 | 5 | 5.8 | 7.57 | … |
(1)函数
(2)函数
(3)函数
探究函数
的最小值,并确定取得最小值时x的值.列表如下,请观察表中y值随x值变化的特点,完成以下的问题.
已知:函数
在区间(0,2)上递减,问:
(1)函数
在区间______上递增.当x=______时,y最小=______.
(2)证明:函数
在区间(0,2)递减;
(3)思考:函数
有最大值或最小值吗?如有,是多少?此时x为何值?(直接回答结果,不需证明)
| x | … | 0.5 | 1 | 1.5 | 1.7 | 2 | 2.1 | 2.3 | 3 | 4 | 7 | … |
| y | … | 64.25 | 17 | 9.36 | 8.43 | 8 | 8.04 | 8.31 | 10.7 | 17 | 49.33 | … |
(1)函数
(2)证明:函数
(3)思考:函数