题目内容
已知函数f(x)=-(1)求f(x)的极值;
(2)当x∈[0,1]时,求f(x)的值域;
(3)设a≥1,函数g(x)=x3-3a2x-2a,x∈[0,1],若对于任意x1∈[0,1],总存在x∈[0,1],使得g(x)=f(x1)成立,求a的取值范围.
【答案】分析:(1)利用导数求函数的极值.
(2)利用导数研究函数的单调性,利用单调性和最值确定函数的值域.
(3)利用导数求函数的最值范围,利用g(x)=f(x1)成立,求a的取值范围.
解答:解:(1)
,令f'(x)=0,解得:x=-
(舍)或x=1
当0≤x≤1时,f'(x)≥0;当x>1时,f'(x)<0,
所以f(x)极大值=f(1)=3,无极小值.
(2)由 (1)知f(x)在区间[0,1]单调递增,所以f(x)在区间[0,1]的值域为[f(0),f(1)],即[-4,-3].
(3)因为g'(x)=3x2-3ax且a≥1,所以当x∈[0,1]时g'(x)≤0,所以g(x)在区间[0,1]单调递减,
所以g(x)在区间[0,1]的值域为[g(1),g(0)],即[1-3a2-2a,-2a].
又对于任意x1∈[0,1],总存在x∈[0,1],使得g(x)=f(x1)成立等价为f(x)在区间[0,1]的值域⊆g(x)在区间[0,1]的值域,
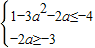
即[-4,-3]⊆[1-3a2-2a,-2a],
即
,解得:
.
点评:本题主要考查利用导数研究函数的单调性以及求函数的最值问题,考查学生的运算能力,综合性较强,运算量较大.
(2)利用导数研究函数的单调性,利用单调性和最值确定函数的值域.
(3)利用导数求函数的最值范围,利用g(x)=f(x1)成立,求a的取值范围.
解答:解:(1)
当0≤x≤1时,f'(x)≥0;当x>1时,f'(x)<0,
所以f(x)极大值=f(1)=3,无极小值.
(2)由 (1)知f(x)在区间[0,1]单调递增,所以f(x)在区间[0,1]的值域为[f(0),f(1)],即[-4,-3].
(3)因为g'(x)=3x2-3ax且a≥1,所以当x∈[0,1]时g'(x)≤0,所以g(x)在区间[0,1]单调递减,
所以g(x)在区间[0,1]的值域为[g(1),g(0)],即[1-3a2-2a,-2a].
又对于任意x1∈[0,1],总存在x∈[0,1],使得g(x)=f(x1)成立等价为f(x)在区间[0,1]的值域⊆g(x)在区间[0,1]的值域,
即[-4,-3]⊆[1-3a2-2a,-2a],
即
点评:本题主要考查利用导数研究函数的单调性以及求函数的最值问题,考查学生的运算能力,综合性较强,运算量较大.
练习册系列答案
相关题目
已知函数f(x)=x2-bx的图象在点A(1,f(1))处的切线l与直线3x-y+2=0平行,若数列{
}的前n项和为Sn,则S2010的值为( )
| 1 |
| f(n) |
A、
| ||
B、
| ||
C、
| ||
D、
|