题目内容
定义运算
,如
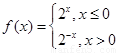
,令
,则
为(
)
A.奇函数,值域
B.偶函数,值域![]()
C.非奇非偶函数,值域
D.偶函数,值域![]()
【答案】
B
【解析】
试题分析:显然函数
的定义域为
,且
,所以
为偶函数,
,所以
在
上为增函数,
在
上为减函数,所以当
时,
取得最大值1,所以选B.
考点:指数函数的图象和性质.
练习册系列答案
相关题目