题目内容

已知函数

(1)当时,求函数的极值;

(2)若在区间上单调递增,试求的取值或取值范围

 

【答案】

(1)极大值为1,极小值为;(2).

【解析】

试题分析:(1)当时,令导数等于零得极值点,代入函数求得极值;(2)若在区间上是单调递增函数,则在区间内恒大于或等于零,讨论求得.

试题解析:(1)当时,,∴

,则,               2分

的变化情况如下表

+

0

0

+

极大值

极小值

即函数的极大值为1,极小值为;                             5分

(2)

在区间上是单调递增函数,  则在区间内恒大于或等于零,   6分

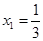
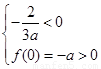
,这不可能,                7分

,则符合条件,           9分

,则由二次函数的性质知

,即,这也不可能,      13分

所以               14分

考点:利用导数求函数极值、二次函数、利用导数研究函数单调性.

 

练习册系列答案
相关题目

违法和不良信息举报电话:027-86699610 举报邮箱:58377363@163.com

精英家教网