题目内容
函数f(x)满足f(0)=0,其导函数f′(x)的图象如图所示,则函数f(x)的图象与x轴所围成的封闭图形的面积为( )A.1
B.
C.2
D.
【答案】分析:由图象可知:函数y=f′(x)的图象是一条直线,且经过两点(1,0),(0,2),可求出解析式;再利用不定积分求出原函数的表达式,进而可利用定积分求出阴影部分的面积.
解答:解:由图象可知:函数y=f′(x)的图象是一条直线,且经过两点(1,0),(0,2),∴f′(x)=-2x+2.
∴f(x)=∫(-2x+2)dx=-x2+2x+c.
∵f(0)=0,∴0=0+c,∴c=0.即f(x)=-x2+2x,
令f(x)=0,则x=0,或x=2,其图象如图所示:
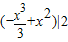
∴函数f(x)的图象与x轴所围成的封闭图形的面积=
=
=
.
故选B.
点评:由导函数的图象求出原函数的解析式和利用定积分求阴影部分的面积是解题的关键.
解答:解:由图象可知:函数y=f′(x)的图象是一条直线,且经过两点(1,0),(0,2),∴f′(x)=-2x+2.
∴f(x)=∫(-2x+2)dx=-x2+2x+c.
∵f(0)=0,∴0=0+c,∴c=0.即f(x)=-x2+2x,
令f(x)=0,则x=0,或x=2,其图象如图所示:
∴函数f(x)的图象与x轴所围成的封闭图形的面积=
故选B.
点评:由导函数的图象求出原函数的解析式和利用定积分求阴影部分的面积是解题的关键.
练习册系列答案
相关题目