题目内容
已知数列{an}中,a1=1,
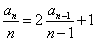
(n≥2,n∈N*),且
为等比数列。
(1)求实数λ及数列{bn}、{an}的通项公式;
(2)若Sn为{an}的前n项和,求Sn。
(1)求实数λ及数列{bn}、{an}的通项公式;
(2)若Sn为{an}的前n项和,求Sn。
解:(1)当n≥2时,
,
∴
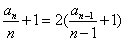
,即
,
故λ=1时,有
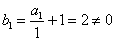
,
而
,
∴
,
从而
。
(2)
,
记
,
则
,
两式相减,得
,
∴
,
。
∴
故λ=1时,有
而
∴
从而
(2)
记
则
两式相减,得
∴
练习册系列答案
相关题目
已知数列{an}中,a1=1,2nan+1=(n+1)an,则数列{an}的通项公式为( )
A、
| ||
B、
| ||
C、
| ||
D、
|