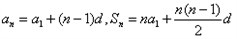
题目内容
已知公差不为0的等差数列{an}的前3项和S3=9,且a1,a2,a5成等比数列。
(1)求数列{an} 的通项公式和前n项和Sn;
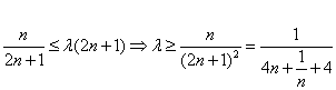
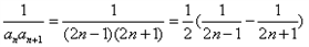
(2)设Tn为数列
的前n项和,若Tn≤λan+1对一切n∈N*恒成立,求实数λ的最小值。
(1)求数列{an} 的通项公式和前n项和Sn;
(2)设Tn为数列
解:(1)设
,
由S3=9得:
,①
成等比数列得:
②;
联立①②得
;
故
。
(2)∵
,
∴
,
由
得:
,
令
,
可知f(n)单调递增,即
。
由S3=9得:
联立①②得
故
(2)∵
∴
由
令
可知f(n)单调递增,即
练习册系列答案
相关题目
已知公差不为0的等差数列{an}满足a1,a3,a4成等比关系,Sn为{an}的前n项和,则
的值为( )
| S3-S2 |
| S5-S3 |
| A、2 | ||
| B、3 | ||
C、
| ||
| D、不存在 |