题目内容
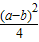
在a>0,b>0的条件下,三个结论:①
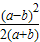
②
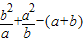
③
其中正确的个数是( )
A.0
B.1
C.2
D.3
【答案】分析:用作差比较法证明①②③都正确,从而得到结论.
解答:解:在a>0,b>0的条件下,
由
-
=
=
=
≥0,可得①正确.
由
-
=
=
≥0,可得
≥
,
故有
≥
,故②正确.
由
=
+
=(b-a)(
-
)=(b-a)(
-
),
当b>a>0时,(b-a)>0,
,(
-
)>0,(b-a)(
-
)>0.
当a>b>0时,(b-a)<0,
,(
-
)<0,(b-a)(
-
)>0.
当a=b 时,显然(b-a)(
-
)=0.
综上,(b-a)(
-
)≥0,故有
,故③正确.
故选D.
点评:本题主要考查基本不等式的应用,用比较法证明不等式,体现了分类讨论的数学思想,式子的变形是解题的关键,属于基础题.
解答:解:在a>0,b>0的条件下,
由
由
故有
由
当b>a>0时,(b-a)>0,
当a>b>0时,(b-a)<0,
当a=b 时,显然(b-a)(
综上,(b-a)(
故选D.
点评:本题主要考查基本不等式的应用,用比较法证明不等式,体现了分类讨论的数学思想,式子的变形是解题的关键,属于基础题.
练习册系列答案
相关题目