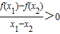
题目内容
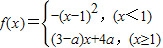
函数
【答案】分析:函数
满足对任意x1≠x2都有
成立,由增函数的定义知,此函数是一个增函数,由此关系得出a的取值范围
解答:解:根据题意,由增函数的定义知,此函数是一个增函数;
故有
,解得-1≤a<3
则a的取值范围是[-1,3)
故答案为[-1,3)
点评:本题考查函数的连续性,解题本题关键是根据题设中的条件得出函数是一个增函数,再有增函数的图象特征得出参数所满足的不等式,这是此类题转化常的方式,本题考查了推理论证的能力及转化的思想
解答:解:根据题意,由增函数的定义知,此函数是一个增函数;
故有
则a的取值范围是[-1,3)
故答案为[-1,3)
点评:本题考查函数的连续性,解题本题关键是根据题设中的条件得出函数是一个增函数,再有增函数的图象特征得出参数所满足的不等式,这是此类题转化常的方式,本题考查了推理论证的能力及转化的思想
练习册系列答案
相关题目