题目内容

已知中,点A、B的坐标分别为,点C在x轴上方。

(1)若点C坐标为,求以A、B为焦点且经过点C的椭圆的方程;

(2)过点P(m,0)作倾角为的直线交(1)中曲线于M、N两点,若点Q(1,0)恰在以线段MN为直径的圆上,求实数m的值。

 

【答案】

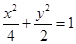
(1)椭圆方程;(2)

【解析】

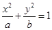
试题分析:(1)由已知可知椭圆焦点在轴上且,设椭圆的标准方程,在利用椭圆的定义求,根据可求

(2)直线的倾斜角为可知斜率为,设点斜式的直线方程,因为点在以线段为直径的圆上,所以,即,联立直线与椭圆方程,利用韦达定理建立关于的等式,可求得的值.

试题解析:(1)设椭圆方程为,c=,2a=,b=,椭圆方程为 .

(2)直线l的方程为,联立方程解得

,若Q恰在 以MN为直径的圆上,

,即

 

考点:1、椭圆的定义、椭圆的标准方程;2、直线方程,圆中直径所对的圆周角为直角;3、直线与椭圆的位置关系、韦达定理.

 

练习册系列答案
相关题目

违法和不良信息举报电话:027-86699610 举报邮箱:58377363@163.com

精英家教网