题目内容
已知函数f(x)=ax2+2ln(x+1),其中a为实数.(1)若f(x)在x=1处有极值,求a的值;
(2)若f(x)在[2,3]上是增函数,求a的取值范围.
【答案】分析:(1)计算
因为f(x)在x=1处有极值所以f′(1)=2a+1=0可解
(2)解法一由f(x)在[2,3]上是增函数得
在[2,3]上恒成立,利用分离参数,设
x∈[2,3]求函数的最大值即可.
解法二依题意得fn(x)>0对x∈[2,3]恒成立,
即
恒成立即ax2+ax+1>0对x∈[2,3]恒成立转化为二次函数的问题.
解答:解:(1)由已知得f(x)的定义域为(-1,+∞)
又
∴由题意得f′(1)=2a+1=0
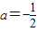
∴
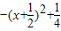
(2)解法一:依题意得f′(x)>0对x∈[2,3]恒成立,∴
∴
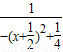
∵x∈[2,3],∴
的最小值为
∴
的最大值为
又因
时符合题意∴
为所求
解法二:依题意得fn(x)>0对x∈[2,3]恒成立,∴
即
∵1+x>0,
∴ax2+ax+1>0对x∈[2,3]恒成立
令g(x)=ax2+ax+1
(1)当a=0时,1>0恒成立
(2)当a<0时,抛物线g(x)开口向下,可得g(x)min=g(3)>0
即9a+3a+1≥0,∴
(
(3)当a>0时,抛物线g(x)开口向上,可得g(x)min=g(2)>0
即4a+2a+1>0,
∴
,即a>0
又因
时符合题意
综上可得
为所求
点评:了解可导函数在某点取得极值的必要条件和充分条件(导数在极值点两侧异号).会用导数判断函数单调性、求单调区间与极值..
(2)解法一由f(x)在[2,3]上是增函数得
解法二依题意得fn(x)>0对x∈[2,3]恒成立,
解答:解:(1)由已知得f(x)的定义域为(-1,+∞)
又
∴由题意得f′(1)=2a+1=0
∴
(2)解法一:依题意得f′(x)>0对x∈[2,3]恒成立,∴
∴
∵x∈[2,3],∴
∴
又因
解法二:依题意得fn(x)>0对x∈[2,3]恒成立,∴
∵1+x>0,
∴ax2+ax+1>0对x∈[2,3]恒成立
令g(x)=ax2+ax+1
(1)当a=0时,1>0恒成立
(2)当a<0时,抛物线g(x)开口向下,可得g(x)min=g(3)>0
即9a+3a+1≥0,∴
(3)当a>0时,抛物线g(x)开口向上,可得g(x)min=g(2)>0
即4a+2a+1>0,
∴
又因
综上可得
点评:了解可导函数在某点取得极值的必要条件和充分条件(导数在极值点两侧异号).会用导数判断函数单调性、求单调区间与极值..
练习册系列答案
相关题目