题目内容
已知数列{an}和{bn}满足:a1=λ,an+1=(Ⅰ)证明:对任意实数λ,数列{an}不是等比数列;
(Ⅱ)证明:当λ≠-18时,数列{bn}是等比数列.
【答案】分析:(Ⅰ)假设存在一个实数?,使{an}是等比数列,由题意知(
)2=
2
,矛盾.所以{an}不是等比数列.
(Ⅱ)由题设条件知b1=-(λ+18)≠0.bn≠0,∴
,故当λ≠-18,时,数列{bn}是以-(λ+18)为首项,
为公比的等比数列.
解答:证明:(Ⅰ)假设存在一个实数λ,使{an}是等比数列,则有a22=a1a3,即
,矛盾.
所以{an}不是等比数列.
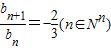
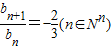
(Ⅱ)∵
=
.
λ≠-18,∴b1=-(λ+18)≠0.
由上式知 bn≠0,∴
,
故当λ≠-18,时,数列{bn}是以-(λ+18)为首项,
为公比的等比数列.
点评:本题考查数列的综合应用,解题时要注意公式的灵活运用.对于证明数列不是等比数列的问题实际上不好表述,我们可以选择反证法来证明,假设存在推出矛盾.
(Ⅱ)由题设条件知b1=-(λ+18)≠0.bn≠0,∴
解答:证明:(Ⅰ)假设存在一个实数λ,使{an}是等比数列,则有a22=a1a3,即
所以{an}不是等比数列.
(Ⅱ)∵
=
λ≠-18,∴b1=-(λ+18)≠0.
由上式知 bn≠0,∴
故当λ≠-18,时,数列{bn}是以-(λ+18)为首项,
点评:本题考查数列的综合应用,解题时要注意公式的灵活运用.对于证明数列不是等比数列的问题实际上不好表述,我们可以选择反证法来证明,假设存在推出矛盾.
练习册系列答案
相关题目