题目内容
设
,
,已知函数
.
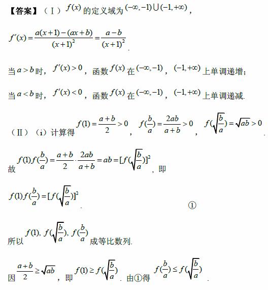
(Ⅰ)当
时,讨论函数
的单调性;
(Ⅱ)当
时,称
为
、
关于
的加权平均数.
(i)判断
,
,
是否成等比数列,并证明
;
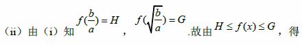
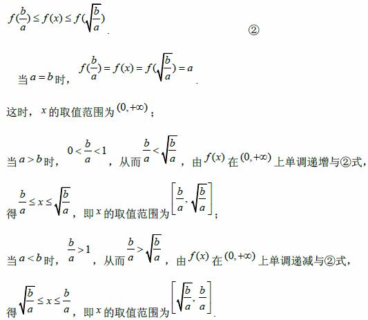
(ii)
、
的几何平均数记为G. 称
为
、
的调和平均数,记为H.
若
,求
的取值范围.
练习册系列答案
相关题目
题目内容
设
,
,已知函数
.
(Ⅰ)当
时,讨论函数
的单调性;
(Ⅱ)当
时,称
为
、
关于
的加权平均数.
(i)判断
,
,
是否成等比数列,并证明
;
(ii)
、
的几何平均数记为G. 称
为
、
的调和平均数,记为H.
若
,求
的取值范围.