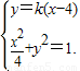
题目内容
已知椭圆(Ⅰ)求椭圆C的方程;
(Ⅱ)设P(4,0),M,N是椭圆C上关于x轴对称的任意两个不同的点,连接PN交椭圆C于另一点E,求直线PN的斜率的取值范围;
(Ⅲ)在(Ⅱ)的条件下,证明直线ME与x轴相交于定点.
【答案】分析:(Ⅰ)由题意知
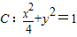
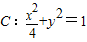
,所以a2=4b2,由此可知椭圆C的方程为
.
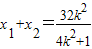
(Ⅱ)由题意知直线PN的斜率存在,设直线PN的方程为y=k(x-4).由题设得(4k2+1)x2-32k2x+64k2-4=0.由此入手可知直线PN的斜率的取值范围是:
.
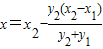
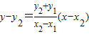
(Ⅲ)设点N(x1,y1),E(x2,y2),则M(x1,-y1).直线ME的方程为
.令y=0,得
.由此入手可知直线ME与x轴相交于定点(1,0).
解答:解:(Ⅰ)由题意知
,
所以
,即a2=4b2,∴a=2b
又因为
,∴a=2,故椭圆C的方程为
.(4分)
(Ⅱ)由题意知直线PN的斜率存在,设直线PN的方程为y=k(x-4).
由
得(4k2+1)x2-32k2x+64k2-4=0.①(6分)
由△=(-32k2)2-4(4k2+1)(64k2-4)>0,得12k2-1<0,∴
(8分)
又k=0不合题意,所以直线PN的斜率的取值范围是:
.(9分)
(Ⅲ)设点N(x1,y1),E(x2,y2),则M(x1,-y1).
直线ME的方程为
.令y=0,得
.(11分)
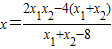
将y1=k(x1-4),y2=k(x2-4)代入整理,得
.②
由①得
,
代入②整理,得x=1.(13分)
所以直线ME与x轴相交于定点(1,0).(14分)
点评:本题考查圆锥曲线的位置关系,解题时要认真审题,仔细解答.
(Ⅱ)由题意知直线PN的斜率存在,设直线PN的方程为y=k(x-4).由题设得(4k2+1)x2-32k2x+64k2-4=0.由此入手可知直线PN的斜率的取值范围是:
(Ⅲ)设点N(x1,y1),E(x2,y2),则M(x1,-y1).直线ME的方程为
解答:解:(Ⅰ)由题意知
所以
又因为
(Ⅱ)由题意知直线PN的斜率存在,设直线PN的方程为y=k(x-4).
由
由△=(-32k2)2-4(4k2+1)(64k2-4)>0,得12k2-1<0,∴
又k=0不合题意,所以直线PN的斜率的取值范围是:
(Ⅲ)设点N(x1,y1),E(x2,y2),则M(x1,-y1).
直线ME的方程为
将y1=k(x1-4),y2=k(x2-4)代入整理,得
由①得
所以直线ME与x轴相交于定点(1,0).(14分)
点评:本题考查圆锥曲线的位置关系,解题时要认真审题,仔细解答.
练习册系列答案
相关题目