题目内容
设函数f(x)=(1+x)2-2ln(1+x)。
(Ⅰ)求f(x)的单调区间;
(Ⅱ)当0<a<2时,求函数g(x)=f(x)-x2-ax-1在区间[0,3]上的最小值.
(Ⅰ)求f(x)的单调区间;
(Ⅱ)当0<a<2时,求函数g(x)=f(x)-x2-ax-1在区间[0,3]上的最小值.
解:(Ⅰ)定义域为(-1,+∞),
,
令
,则
,所以,x<-2或x>0;
因为定义域为(-1,+∞),所以x>0;
令
,则
,所以
,
因为定义域为(-1,+∞),所以-1<x<0;
所以,函数的单调递增区间为(0,+∞),单调递减区间为(-1,0)。
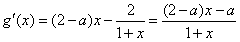
(Ⅱ)
(x>-1),
,
因为0<a<2,所以,2-a>0,
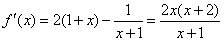
,
令
,可得
,
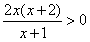
所以函数g(x)在
上为减函数,在
上为增函数;
①当
,即
时, 在区间[0,3]上,
g(x)在
上为减函数,在
上为增函数,
所以,
,
②当
,即
时,g(x)在区间(0,3)上为减函数,
所以,
;
综上所述,当
时,
; 当
时,
。
令
因为定义域为(-1,+∞),所以x>0;
令
因为定义域为(-1,+∞),所以-1<x<0;
所以,函数的单调递增区间为(0,+∞),单调递减区间为(-1,0)。
(Ⅱ)
因为0<a<2,所以,2-a>0,
令
所以函数g(x)在
①当
g(x)在
所以,
②当
所以,
综上所述,当
练习册系列答案
相关题目
设函数f(x)=
,则
(a≠b)的值是( )
|
| (a+b)-(a-b)f(a-b) |
| 2 |
| A、a | B、b |
| C、a,b中较小的数 | D、a,b中较大的数 |
设函数f(x)=
的反函数为h(x),又函数g(x)与h(x+1)的图象关于有线y=x对称,则g(2)的值为( )
| 1-x |
| 1+x |
A、-
| ||
B、-
| ||
| C、-1 | ||
| D、-2 |
设函数f(x)=
,若方程f(x)=a有且只有一个实根,则实数a满足( )
|
| A、a<0 | B、0≤a<1 |
| C、a=1 | D、a>1 |