题目内容
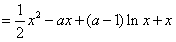
已知函数f(x)=
x2-ax+(a-1)lnx,a>1。
(1)讨论函数f(x)的单调性;
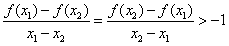
(2)证明:若a<5,则对任意x1,x2∈(0,+∞)x1≠x2,有
。
(1)讨论函数f(x)的单调性;
(2)证明:若a<5,则对任意x1,x2∈(0,+∞)x1≠x2,有
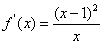
解:(1)
的定义域为
。

(i)若
,即
,则
故
在
单调增加。
(ii)若
,而
,故
,则当
时,
当
及
时,
故f(x)在
单调减少,在
单调增加。
(iii)若
,即
,同理可得f(x)在
单调减少,在
单调增加。
(2)考虑函数

则
由于1<a<5,故
,即g(x)在(4,+∞)单调增加,
从而当
时有
,
即
,故
,
当
时,有
。
(i)若
故
(ii)若
当
故f(x)在
(iii)若
(2)考虑函数
则
由于1<a<5,故
从而当
即
当
练习册系列答案
相关题目
| π |
| 2 |
A、f(x)=2sin(πx+
| ||
B、f(x)=2sin(2πx+
| ||
C、f(x)=2sin(πx+
| ||
D、f(x)=2sin(2πx+
|