题目内容

某厂家准备在2013年12月份举行促销活动,依以往的数据分析,经测算,该产品的年销售量万件(假设该厂生产的产品全部销售),与年促销费用万元近似满足,如果不促销,该产品的年销售量只能是1万件.已知2013年生产该产品的固定投入10万元,每生产1万件该产品需要再投入16万元.厂家将每件产品的销售价格规定为每件产品成本的1.5倍.(产品成本包括固定投入和再投入两部分资金).

(1)将2013年该产品的年利润万元表示为年促销费用万元的函数;

(2)该厂家2013年的年促销费用投入为多少万元时,该厂家的年利润最大?并求出年最大利润.

 

【答案】

(1)(2)3,2,1万

【解析】

试题分析:(1)由题意可知当m=0时,x=1满足,即可得出k值,从而得出每件产品的销售价格,从而得出2013年的利润的表达式即可;

(2)对于(1)中求得的解析式,根据其中两项之积为定值结合利用基本不等式此函数的最大值及相应的x值,从而解决该厂家2010年的促销费用投入多少万元时,厂家的利润最大.

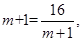
试题解析:(1)由        3分

每件产品的销售价格为1.5×(元),                                        .4分

∴2010年的利润y=x•(1.5×)-(8+16x+m)                       6

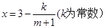
=4+8x-m=4+8(3−)-m=-[+(m+1)]+29(m≥0).

           7分

(2),当且仅当 ,即年促销费用投入为3万元,该厂家的年利润最大,最大利润为21万元。         13分

考点:1.函数模型的选择与应用;2. 基本不等式的应用.

 

练习册系列答案
相关题目

违法和不良信息举报电话:027-86699610 举报邮箱:58377363@163.com

精英家教网