题目内容
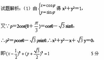
已知圆
的参数方程为
(
为参数),以坐标原点
为极点,x轴的正半轴为极轴建立极坐标系,圆
的极坐标方程为
.
(1)将圆
的参数方程化为普通方程,将圆
的极坐标方程化为直角坐标方程;
(2)圆
、
是否相交,若相交,请求出公共弦的长;若不相交,请说明理由.
![]()
【解析】
![]()
![]()
![]()
练习册系列答案
相关题目
题目内容
已知圆
的参数方程为
(
为参数),以坐标原点
为极点,x轴的正半轴为极轴建立极坐标系,圆
的极坐标方程为
.
(1)将圆
的参数方程化为普通方程,将圆
的极坐标方程化为直角坐标方程;
(2)圆
、
是否相交,若相交,请求出公共弦的长;若不相交,请说明理由.
![]()
【解析】
![]()
![]()
![]()