题目内容
等差数列{an}中,Sn为前n项和,已知S5=40,a5=14(1)求数列{an}的通项公式;
(2)设
【答案】分析:(1)设出等差数列{an}的首项与公差,列方程组即可求得其首项与公差,从而可求得数列{an}的通项公式;
(2)利用分组求和的方法即可求得数列{bn}的前n项和Tn.
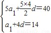
解答:解:(1)设首项a1,公差d则
解得a1=2,d=3,
∴an=2+(n-1)×3=3n-1…6分
(2)∵bn=3n-1+
,设{bn}的前n项和为Tn,
则Tn=b1+b2+…+bn
=(2+5+8+…+3n-1)+(
+
+…+
)
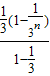
=
+
=
-
…12分
点评:本题考查数列的求和,考查等差数列的通项公式,突出考查解方程组与分组求和,属于中档题.
(2)利用分组求和的方法即可求得数列{bn}的前n项和Tn.
解答:解:(1)设首项a1,公差d则
∴an=2+(n-1)×3=3n-1…6分
(2)∵bn=3n-1+
则Tn=b1+b2+…+bn
=(2+5+8+…+3n-1)+(
=
=
点评:本题考查数列的求和,考查等差数列的通项公式,突出考查解方程组与分组求和,属于中档题.
练习册系列答案
相关题目