题目内容

将函数的图象上各点的纵坐标不变横坐标伸长到原来的2倍,再向左平移个单位,所得函数的单调递增区间为               .

 

【答案】

【解析】

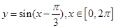
试题分析:函数的图象上各点的纵坐标不变横坐标伸长到原来的2倍,变为

;再向左平移个单位,变为

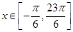
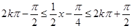
.当时,解得,又因为

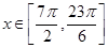
,所以,所以所求函数的单调递增区间是

.

考点:1.三角函数的图像与平移变换;2.三角函数的单调性

 

练习册系列答案
相关题目

违法和不良信息举报电话:027-86699610 举报邮箱:58377363@163.com

精英家教网