题目内容
等体积的球和正方体,它们的表面积的大小关系是S球 S正方体(填“大于、小于或等于”).
【答案】分析:由题意,通过体积求出球的表面积,求出正方体的表面积,比较大小即可.
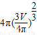
解答:解:S正方体=6
,S球=
,∵
所以:S球小于S正方体
故答案为:S球小于S正方体
点评:本题考查球的体积正方体的表面积等知识,考查学生的分析问题解决问题的能力,是基础题.
解答:解:S正方体=6
所以:S球小于S正方体
故答案为:S球小于S正方体
点评:本题考查球的体积正方体的表面积等知识,考查学生的分析问题解决问题的能力,是基础题.
练习册系列答案
相关题目