题目内容
(选做题)已知函数f(x)=|x+a|+|x-2|。
(1)当a=-3时,求不等式f(x)≥3的解集;
(2)若f(x)≤|x-4|的解集包含[1,2],求a的取值范围。
(1)当a=-3时,求不等式f(x)≥3的解集;
(2)若f(x)≤|x-4|的解集包含[1,2],求a的取值范围。
解:(1)当a=-3时,f(x)≥3
即|x-3|+|x-2|≥3,
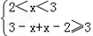
即
,或
,或
解得 x≤1或x≥4,
故不等式的解集为 {x|x≤1或x≥4}。
(2)原命题即f(x)≤|x-4|在[1,2]上恒成立,等价于|x+a|+2-x≤4-x在[1,2]上恒成立,
等价于-2-x≤a≤2-x在[1,2]上恒成立,
解得-3≤a≤0,故a的取值范围为[-3,0]。
即|x-3|+|x-2|≥3,
即
解得 x≤1或x≥4,
故不等式的解集为 {x|x≤1或x≥4}。
(2)原命题即f(x)≤|x-4|在[1,2]上恒成立,等价于|x+a|+2-x≤4-x在[1,2]上恒成立,
等价于-2-x≤a≤2-x在[1,2]上恒成立,
解得-3≤a≤0,故a的取值范围为[-3,0]。
练习册系列答案
相关题目