题目内容
如图,直三棱柱ABC-A'B'C',∠BAC=90°,AB=AC=λAA',点M,N分别为A'B和B'C'的中点.(I)证明:MN∥平面A'ACC';
(II)若二面角A'-MN-C为直二面角,求λ的值.
【答案】分析:(I)法一,连接AB′、AC′,说明三棱柱ABC-A′B′C′为直三棱柱,推出MN∥AC′,然后证明MN∥平面A′ACC′;
法二,取A′B′的中点P,连接MP、NP,推出MP∥平面A′ACC′,PN∥平面A′ACC′,然后通过平面与平面平行证MN∥平面A′ACC′.
(II)以A为坐标原点,分别以直线AB、AC、AA′为x,y,z轴,建立直角坐标系,设AA′=1,推出A,B,C,A′,B′,C′坐标求出M,N,设
=(x1,y1,z1)是平面A′MN的法向量,通过
,取
,设
=(x2,y2,z2)是平面MNC的法向量,由
,取
,利用二面角A'-MN-C为直二面角,所以
,解λ.
解答:(I)证明:连接AB′、AC′,
由已知∠BAC=90°,AB=AC,
三棱柱ABC-A′B′C′为直三棱柱,
所以M为AB′中点,
又因为N为B′C′的中点,
所以MN∥AC′,
又MN?平面A′ACC′,
因此MN∥平面A′ACC′;
法二:取A′B′的中点P,连接MP、NP,
M、N分别为A′B、B′C′的中点,
所以MP∥AA′,NP∥A′C′,
所以MP∥平面A′ACC′,PN∥平面A′ACC′,
又MP∩NP=P,因此平面MPN∥平面A′ACC′,
而MN?平面MPN,
因此MN∥平面A′ACC′.
(II)以A为坐标原点,分别以直线AB、AC、AA′为x,y,z轴,建立直角坐标系,如图,
设AA′=1,则AB=AC=1,于是A(0,0,0),B(λ,0,0),C(0,λ,0),A′(0,0,1),B′(λ,0,1),C′(0,λ,1).
所以M(
),N(
),
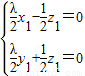
设
=(x1,y1,z1)是平面A′MN的法向量,
由
,得
,
可取
,
设
=(x2,y2,z2)是平面MNC的法向量,
由
,得
,
可取
,
因为二面角A'-MN-C为直二面角,
所以
,
即-3+(-1)×(-1)+λ2=0,
解得λ=
.
点评:本题以三棱柱为载体主要考查空间中的线面平行的判定,借助空间直角坐标系求平面的法向量的方法,并利用法向量判定平面的垂直关系,考查空间想象能力、推理论证能力、运算求解能力,难度适中.第一小题可以通过线线平行来证明线面平行,也可通过面面平行来证明.
法二,取A′B′的中点P,连接MP、NP,推出MP∥平面A′ACC′,PN∥平面A′ACC′,然后通过平面与平面平行证MN∥平面A′ACC′.
(II)以A为坐标原点,分别以直线AB、AC、AA′为x,y,z轴,建立直角坐标系,设AA′=1,推出A,B,C,A′,B′,C′坐标求出M,N,设
解答:(I)证明:连接AB′、AC′,
由已知∠BAC=90°,AB=AC,
三棱柱ABC-A′B′C′为直三棱柱,
所以M为AB′中点,
又因为N为B′C′的中点,
所以MN∥AC′,
又MN?平面A′ACC′,
因此MN∥平面A′ACC′;
法二:取A′B′的中点P,连接MP、NP,
M、N分别为A′B、B′C′的中点,
所以MP∥AA′,NP∥A′C′,
所以MP∥平面A′ACC′,PN∥平面A′ACC′,
又MP∩NP=P,因此平面MPN∥平面A′ACC′,
而MN?平面MPN,
因此MN∥平面A′ACC′.
(II)以A为坐标原点,分别以直线AB、AC、AA′为x,y,z轴,建立直角坐标系,如图,
设AA′=1,则AB=AC=1,于是A(0,0,0),B(λ,0,0),C(0,λ,0),A′(0,0,1),B′(λ,0,1),C′(0,λ,1).
所以M(
设
由
可取
设
由
可取
因为二面角A'-MN-C为直二面角,
所以
即-3+(-1)×(-1)+λ2=0,
解得λ=
点评:本题以三棱柱为载体主要考查空间中的线面平行的判定,借助空间直角坐标系求平面的法向量的方法,并利用法向量判定平面的垂直关系,考查空间想象能力、推理论证能力、运算求解能力,难度适中.第一小题可以通过线线平行来证明线面平行,也可通过面面平行来证明.
练习册系列答案
相关题目