题目内容
已知
的顶点
的坐标为
,
边上的中线所在直线方程为
的平分线所在直线方程为
,求
边所在直线的方程。
【答案】
![]()
【解析】
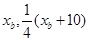
试题分析:设B(
),B在BD上,所以
,所以 B(
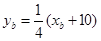
),
AB中点((
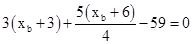
),在中线
6x+10y-59=0 上,
所以
,解得
=10,所以 B(10, 5)。
所以 AB斜率
。
根据
,得
,
,
所以, BC方程为
。
考点:直线方程,直线的夹角公式,中点坐标公式。
点评:中档题,利用中点坐标公式,确定得到B的坐标,进一步确定直线的斜率,利用直线的夹角公式,确定直线BC的斜率。主要应用了函数方程思想。
练习册系列答案
相关题目
已知四边形ABCD的三个顶点A(0,2),B(-1,-2),C(3,1),且
=2
,则顶点D的坐标为( )
| BC |
| AD |
A、(2,
| ||
B、(2,-
| ||
| C、(3,2) | ||
| D、(1,3) |