题目内容
已知f(x)=3x,并且f(a+2)=18,g(x)=3ax-4x的定义域为区间[-1,1].(1)求函数g(x)的解析式;
(2)用定义证明g(x)在[-1,1]上为单调递减函数;
(3)若函数y=f(x)-4和g(x)值域相同,求y=f(x)-4的定义域.
【答案】分析:(1)f(x)=3x,并且f(a+2)=18,g(x)=3ax-4x,可得3a+2=18,可求得a的值,可以求得函数g(x)的解析式;
(2)可得g(x)的解析式,任取实数x1,x2满足-1≤x1<x2≤1,利用定义法进行求解,判断g(x1)-g(x2)与0的关系,从而求解;
(3)利用换元法,令t=2x,x∈[-1,1],则2x∈[
,2],求出g(x)的值域,可以求出y=f(x)-4的定义域.
解答:解:(1)∵f(a+2)=18,f(x)=3x,
∴3a+2=18⇒3a=2,
∴g(x)=(3a)x-4x=2x-4x,x∈[-1,1]…(4分)
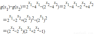
(2)g(x)=2x-4x,x∈[-1,1],任取实数x1,x2满足-1≤x1<x2≤1

y=2x为单调递增函数,-1≤x1<x2≤1,则
,
则
则g(x1)-g(x2)>0,于是g(x)在[-1,1]上为单调递减函数…(8分)
(3)令t=2x,x∈[-1,1],则2x∈[
,2],⇒t-t2=-(t-
)2+
,t∈[
,2],
于是g(x)值域为[-2,
],则y=f(x)-4值域为[-2,
]即
-2≤3x-4≤
,得log32≤x≤
,
即y=f(x)-4的定义域为:[log32,
];
点评:此题主要考查函数的单调性的证明与应用,以及函数的解析式的求法,利用定义法求出函数的单调性是常考的题目,此题是一道中档题;
(2)可得g(x)的解析式,任取实数x1,x2满足-1≤x1<x2≤1,利用定义法进行求解,判断g(x1)-g(x2)与0的关系,从而求解;
(3)利用换元法,令t=2x,x∈[-1,1],则2x∈[
解答:解:(1)∵f(a+2)=18,f(x)=3x,
∴3a+2=18⇒3a=2,
∴g(x)=(3a)x-4x=2x-4x,x∈[-1,1]…(4分)
(2)g(x)=2x-4x,x∈[-1,1],任取实数x1,x2满足-1≤x1<x2≤1
y=2x为单调递增函数,-1≤x1<x2≤1,则
则
则g(x1)-g(x2)>0,于是g(x)在[-1,1]上为单调递减函数…(8分)
(3)令t=2x,x∈[-1,1],则2x∈[
于是g(x)值域为[-2,
-2≤3x-4≤
即y=f(x)-4的定义域为:[log32,
点评:此题主要考查函数的单调性的证明与应用,以及函数的解析式的求法,利用定义法求出函数的单调性是常考的题目,此题是一道中档题;
练习册系列答案
相关题目