题目内容

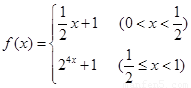
已知函数,且

(1)求实数的值;

(2)解不等式

 

【答案】

(1) ;(2)

【解析】

试题分析:(1)首先判断出 的范围,带入相应的函数解析式即可求出 值;(2)根据(1)问中的 值先分段求出 的范围后再求并集即可.

试题解析:(1)∵ ,∴ ,由 ,解得 .

(2)    由得:

时解得 ;当时解得 ,故的解集为 .

考点:1.分段函数;2.解不等式组.

 

练习册系列答案
相关题目

违法和不良信息举报电话:027-86699610 举报邮箱:58377363@163.com

精英家教网