题目内容
在平面直角坐标系xOy中,已知圆心在第二象限,半径为2(1)求圆C的方程;
(2)试探求C上是否存在异于原点的点Q,使Q到椭圆右焦点F的距离等于线段OF的长.若存在,请求出点Q的坐标;若不存在,请说明理由.
【答案】分析:(1)设出圆的标准方程,由相切和过原点的条件,建立方程求解.
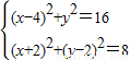
(2)要探求是否存在异于原点的点Q,使得该点到右焦点F的距离等于|OF|的长度4,我们可以转化为探求以右焦点F为圆心,半径为4的圆(x─4)2+y2=8与(1)所求的圆的交点数.
解答:解:(1)设圆心坐标为(m,n)(m<0,n>0),
则该圆的方程为(x-m)2+(y-n)2=8已知该圆与直线y=x相切,
那么圆心到该直线的距离等于圆的半径,则
=2
即|m-n|=4①
又圆与直线切于原点,将点(0,0)代入得m2+n2=8②
联立方程①和②组成方程组解得
故圆的方程为(x+2)2+(y-2)2=8;
(2)|a|=5,∴a2=25,则椭圆的方程为
=1
其焦距c=
=4,右焦点为(4,0),那么|OF|=4.
通过联立两圆的方程
,解得x=
,y=
.
即存在异于原点的点Q(
,
),
使得该点到右焦点F的距离等于|OF|的长.
点评:本题考查的是圆的位置关系和圆锥曲线的基本概念的理解.对于题中第二小问中,探求是否存在异于原点的点Q,使得该点到右焦点F的距离等于|OF|的长度4,转化为探求以右焦点F为顶点,半径为4的圆(x─4)2+y2=8与(1)所求的圆的交点数.可使问题简化.
(2)要探求是否存在异于原点的点Q,使得该点到右焦点F的距离等于|OF|的长度4,我们可以转化为探求以右焦点F为圆心,半径为4的圆(x─4)2+y2=8与(1)所求的圆的交点数.
解答:解:(1)设圆心坐标为(m,n)(m<0,n>0),
则该圆的方程为(x-m)2+(y-n)2=8已知该圆与直线y=x相切,
那么圆心到该直线的距离等于圆的半径,则
即|m-n|=4①
又圆与直线切于原点,将点(0,0)代入得m2+n2=8②
联立方程①和②组成方程组解得
故圆的方程为(x+2)2+(y-2)2=8;
(2)|a|=5,∴a2=25,则椭圆的方程为
其焦距c=
通过联立两圆的方程
即存在异于原点的点Q(
使得该点到右焦点F的距离等于|OF|的长.
点评:本题考查的是圆的位置关系和圆锥曲线的基本概念的理解.对于题中第二小问中,探求是否存在异于原点的点Q,使得该点到右焦点F的距离等于|OF|的长度4,转化为探求以右焦点F为顶点,半径为4的圆(x─4)2+y2=8与(1)所求的圆的交点数.可使问题简化.
练习册系列答案
相关题目