搜索
题目内容
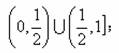
函数
的定义域是
.
试题答案
相关练习册答案
答案
练习册系列答案
悦读联播系列答案
新视界英语阅读系列答案
语文阅读与写作强化训练系列答案
中考新评价系列答案
英语快速阅读与完形填空系列答案
语文同步拓展阅读与训练系列答案
满分阅读系列答案
读写突破系列答案
语文读写双优训练系列答案
语文读本长春出版社系列答案
相关题目
1、求定义域时,应注意以下几种情况.
(1)如果f(x)是整式,那么函数的定义域是
R
;
(2)如果f(x)是分式,那么函数的定义域是使
分母不等于零
的实数的集合;
(3)如果f(x)为二次根式,那么函数的定义域是使
被开方数不小于零
的实数的集合;
(4)如果f(x)为某一数的零次幂,那么函数的定义域是使
底数不为零
的实数的集合.
某地区的一种特色水果上市时间能持续5个月,预测上市初期和后期会因供不应求使价格呈连续上涨态势,而中期又将出现供大于求使价格连续下跌,现有三种价格模拟函数:①f(x)=p•q
x
;②f(x)=log
q
x+p;③f(x)=(x-1)(x-q)
2
+p(以上三式中p、q均为常数,且q>2).
(1)为准确研究其价格走势,应选哪种价格模拟函数,为什么?
(2)若f(1)=4,f(3)=6,①求出所选函数f(x)的解析式(注:函数的定义域是[1,6].其中x=1表示4月1日,x=2表示5月1日,…,以此类推);②为保证果农的收益,打算在价格下跌期间积极拓宽外销,请你预测该水果在哪几个月内价格下跌.
12、已知函数y=log
2
(x
2
-4x+a),设方程x
2
-4x+a=0的判别式为△,
(1)、若a=3,则△
>
0;函数的定义域是
(-∞,1)∪(3,+∞)
;值域是
R
.
(2)、若a=4,则△
=
0;函数的定义域是
(-∞,2)∪(2,+∞)
;值域是
R
.
(3)、若a=5,则△
<
0;函数的定义域是
R
;值域是
[0,+∞)
.
(4)、若函数定义域为R,则实数a∈
(4,+∞)
;若函数值域为R,则实数a∈
(-∞,4)
.
下列说法不正确的是( )
A.正弦函数、余弦函数的定义域是R,值域是[-1,1]
B.余弦函数当且仅当x=2kπ( k∈Z) 时,取得最大值1
C.正弦函数在[2kπ+
π
2
,2kπ+
3π
2
]( k∈Z)上都是减函数
D.余弦函数在[2kπ-π,2kπ]( k∈Z)上都是减函数
某地西红柿上市时间仅能持续5个月,预测上市初期和后期会因供不应求使价格呈连续上涨势态,而中期又将出现供大于求使价格连续下跌.现有三种价格模拟函数:①f(x)=a•b
x
,②f(x)=ax
2
+bx+1,③f(x)=x(x-b)
2
+a,(以上三式中a,b均是不为零的常数,且b>1)
(1)为了准确研究其价格走势,应选择哪种价格模拟函数,为什么?
(2)若f(0)=4,f(2)=6,求出所选函数f(x)的解析式(注:函数的定义域是[0,5]).其中x=0表示8月1日,x=1表示9月1日,…,以此类推;为保证该地的经济收益,当地政府计划在价格下跌期间积极拓宽外销,请你预测该西红柿将在哪几个月份内价格下跌.
关 闭
试题分类
高中
数学
英语
物理
化学
生物
地理
初中
数学
英语
物理
化学
生物
地理
小学
数学
英语
其他
阅读理解答案
已回答习题
未回答习题
题目汇总
试卷汇总
练习册解析答案