搜索
题目内容
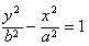
连接双曲线
和
(其中a,b>0)的四个顶点的四边形面积为S
1
,连接四个焦点的四边形的面积为S
2
,则当
的值为最大时,双曲线
的离心率为( )。
试题答案
相关练习册答案
练习册系列答案
层层递进系列答案
典元教辅冲刺金牌小升初押题卷系列答案
金考卷中考试题汇编45套系列答案
鸿鹄志文化期末冲刺王暑假作业系列答案
中考模拟预测卷系列答案
小学拓展课堂突破系列答案
字词句段篇章语言训练系列答案
口算应用题整合集训系列答案
小学升初中教材学法指导系列答案
小学生奥数训练营系列答案
相关题目
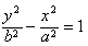
连接双曲线
和
(其中a,b>0)的四个顶点的四边形面积为S
1
,连接四个焦点的四边形的面积为S
2
,则当
的值为最大时,双曲线
的离心率为( )。
关 闭
试题分类
高中
数学
英语
物理
化学
生物
地理
初中
数学
英语
物理
化学
生物
地理
小学
数学
英语
其他
阅读理解答案
已回答习题
未回答习题
题目汇总
试卷汇总
练习册解析答案