题目内容

已知函数的最小正周期为π,为了得到函数g(x)=cos?x的图象,只要将y=f(x)的图象( )
A.向左平移个单位长度
B.向右平移个单位长度
C.向左平移个单位长度
D.向右平移个单位长度
【答案】分析:由周期函数的周期计算公式:,算得ω=2.接下来将f(x)的表达式转化成与g(x)同名的三角函数,再观察左右平移的长度即可.
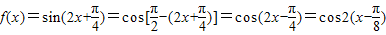
解答:解:由题知ω=2,
所以
故选择A.
点评:本题考点定位:本小题考查诱导公式,函数图象的变换,基础题.
练习册系列答案
相关题目

违法和不良信息举报电话:027-86699610 举报邮箱:58377363@163.com

精英家教网