题目内容
已知函数
,
(Ⅰ)当a=1时,求f(x)在区间[1,e]上的最大值和最小值;
(Ⅱ)若在区间(1,+∞)上,函数f(x)的图象恒在直线y=2ax下方,求a的取值范围。
(Ⅰ)当a=1时,求f(x)在区间[1,e]上的最大值和最小值;
(Ⅱ)若在区间(1,+∞)上,函数f(x)的图象恒在直线y=2ax下方,求a的取值范围。
解:(Ⅰ)当a=1时,
,
对于x∈[1,e],有f′(x)>0,
∴f(x)在区间[1,e]上为增函数,
∴
。
(Ⅱ)令
,
在区间(1,+∞)上,函数f(x)的图象恒在直线y=2ax下方,等价于g(x)<0在区间(1,+∞)上恒成立,
∵
,
令g′(x)=0,得
,
①若
,即
时,
在区间(x2,+∞)上有g′(x)>0,在区间(1,x2)上,g′(x)<0,
此时g(x)在区间(x2,+∞)上是增函数,在(1,x2)为减函数,
并且在区间(1,+∞)上有g(x)∈(g(x2),+∞),不合题意;
②当
,即a≥1时,在区间(1,+∞)上,g′(x)>0,
故g(x)在区间(1,+∞)上是增函数,
所以g(x)在区间(1,+∞)上,有g(x)∈(g(1),+∞),也不合题意;
③若a≤
,则有2a-1≤0,此时在区间(1,+∞)上,有g′(x)<0,
从而g(x)在区间(1,+∞)上是减函数,
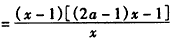
要使g(x)<0在此区间上恒成立,只需满足
,
由此求得a的范围是
,
综上可知,当a∈
时,函数f(x)的图象恒在直线y=2ax下方。
对于x∈[1,e],有f′(x)>0,
∴f(x)在区间[1,e]上为增函数,
∴
(Ⅱ)令
在区间(1,+∞)上,函数f(x)的图象恒在直线y=2ax下方,等价于g(x)<0在区间(1,+∞)上恒成立,
∵
令g′(x)=0,得
①若
在区间(x2,+∞)上有g′(x)>0,在区间(1,x2)上,g′(x)<0,
此时g(x)在区间(x2,+∞)上是增函数,在(1,x2)为减函数,
并且在区间(1,+∞)上有g(x)∈(g(x2),+∞),不合题意;
②当
故g(x)在区间(1,+∞)上是增函数,
所以g(x)在区间(1,+∞)上,有g(x)∈(g(1),+∞),也不合题意;
③若a≤
从而g(x)在区间(1,+∞)上是减函数,
要使g(x)<0在此区间上恒成立,只需满足
由此求得a的范围是
综上可知,当a∈
练习册系列答案
相关题目