题目内容
已知函数(1)求a的值;
(2)求函数f(x)的值域.
(3)当x∈≥2x-2恒成立,求实数t的取值范围.
【答案】分析:(1)因为函数为奇函数,则有f(-x)=-f(x),有f(0)=0得到a的值;
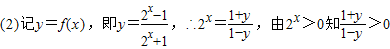
(2)设y=f(x)化简求出2x>0得到y的不等式,求出解集即可得到函数值域;
(3)将f(x)代入到不等式中化简得到一个函数f(u)=u2-(t+1)•u+t-2小于等于0,即要求出f(u)的函数值都小于等于0,根据题意列出不等式求出解集即可得到t的范围
解答:解:(1)∵f(x)是定义在(-∞,+∞)上的奇函数,即f(-x)=-f(x)


∴-1<y<1,即f(x)的值域为(-1,1).

即(2x)2-(t+1)•2x+t-2≤0,设2x=u,∵x∈(0,1],∴u∈(1,2].
∴当x∈(0,1]时,tf(x)≥2x-2恒成立,即为u∈(1,2]时u2-(t+1)•u+t-2≤0恒成立.
∴
点评:考查学生理解函数恒成立时取条件的能力,运用函数奇偶性的性质,会求函数值域的能力.
(2)设y=f(x)化简求出2x>0得到y的不等式,求出解集即可得到函数值域;
(3)将f(x)代入到不等式中化简得到一个函数f(u)=u2-(t+1)•u+t-2小于等于0,即要求出f(u)的函数值都小于等于0,根据题意列出不等式求出解集即可得到t的范围
解答:解:(1)∵f(x)是定义在(-∞,+∞)上的奇函数,即f(-x)=-f(x)
∴-1<y<1,即f(x)的值域为(-1,1).
即(2x)2-(t+1)•2x+t-2≤0,设2x=u,∵x∈(0,1],∴u∈(1,2].
∴当x∈(0,1]时,tf(x)≥2x-2恒成立,即为u∈(1,2]时u2-(t+1)•u+t-2≤0恒成立.
∴
点评:考查学生理解函数恒成立时取条件的能力,运用函数奇偶性的性质,会求函数值域的能力.
练习册系列答案
相关题目