题目内容
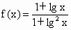
设函数
,则f(10)的值是
[ ]
|
A.1 |
B.-1 |
C.10 |
D. |
答案:A
解析:
解析:
|
∵ ∴ |
练习册系列答案
相关题目
设函数
[
]|
A .1 |
B .-1 |
C .10 |
D . |