题目内容

直线关于直线对称的直线方程为______            __.

 

【答案】

【解析】

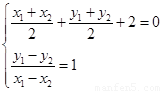
试题分析:设点在所求直线上,点关于的对称点为,点在直线上,由解得将其代入直线中

,即所求直线方程为.

考点:直线关于直线的对称问题.

 

练习册系列答案
相关题目

违法和不良信息举报电话:027-86699610 举报邮箱:58377363@163.com

精英家教网