题目内容
已知不重合的两个点P(1,cosx),Q(cosx,1)(1)求
(2)求△OPQ的面积S(x),并求出其取最大值时,
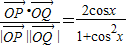
【答案】分析:(1)由已知中点P(1,cosx),Q(cosx,1)的坐标,进而根据cosθ=
,我们可以求出余弦值f(x)的解析式,结合
及对勾函数的单调性,易得到函数f(x)的值域;
(2)由(1)中结论,代入△OPQ的面积公式,我们易确定出函数S(x)的表达式,进而根据及求出面积S(x)的最大值,及对应的x值,代入即可求出
的值.
解答:解:(1)cosθ=
,
∵P,Q不重合,∴
,…(2分)
∵cosx>0,
,因此f(x)=
,…(4分)
由函数
的单调性,得
.…(6分)
(2)S(x)=
=
=
…(8分)
∴S(x)=
,
,…(10分)
当
,S(x)取最大值
,
=2
=
.…(12分)
点评:本题考查的知识点是平面向量的数量积的坐标表示,平面向量数量积的运算,其中(1)的关键是确定出f(x)的解析式,(2)的关键是函数S(x)的表达式.
(2)由(1)中结论,代入△OPQ的面积公式,我们易确定出函数S(x)的表达式,进而根据及求出面积S(x)的最大值,及对应的x值,代入即可求出
解答:解:(1)cosθ=
∵P,Q不重合,∴
∵cosx>0,
由函数
(2)S(x)=
∴S(x)=
当
点评:本题考查的知识点是平面向量的数量积的坐标表示,平面向量数量积的运算,其中(1)的关键是确定出f(x)的解析式,(2)的关键是函数S(x)的表达式.
练习册系列答案
相关题目