题目内容
已知椭圆(1)求椭圆的方程;
(2)若过点C(-1,0)且斜率为k的直线l与椭圆相交于不同的两点A,B,试问在x轴上是否存在点M,使
【答案】分析:(1)利用椭圆的离心率为
,且过点(
),求得椭圆的几何量,即可求椭圆的方程;
(2II)假设存在点M符合题意,设AB为y=k(x+1),代入椭圆方程可得关于x的一元二次方程,设A(x1,y1),B(x2,y2),M(m,0),由利用韦达定理,及
是与k无关的常数,建立方程组,即可求得结论.
解答:解:(1)∵椭圆离心率为
,∴
=
,∴
.…(1分)
∵椭圆过点(
),代入椭圆方程,得
.…(2分)
∴
.…(4分)
∴椭圆方程为
,即x2+3y2=5.…(5分)
(2)在x轴上存在点M(
,0),使
是与k无关的常数.…(6分)
证明:假设在x轴上存在点M(m,0),使
是与k无关的常数,
∵直线L过点C(-1,0)且斜率为k,∴L方程为y=k(x+1),
代入方程E:x2+3y2=5,得(3k2+1)x2+6k2x+3k2-5=0;
设A(x1,y1),B(x2,y2),M(m,0),则x1+x2=-
,x1x2=
…(8分)
∵
=(x1-m,y1),
=(x2-m,y2),
∴
=(k2+1)x1x2+(k2-m)(x1+x2)+k2+m2+
=
…(10分)
设常数为t,则
.…(11分)
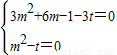
整理得(3m2+6m-1-3t)k2+m2-t=0对任意的k恒成立,
∴
,解得m=
,…(13分)
即在x轴上存在点M(
,0),使
是与k无关的常数.…(14分)
点评:本题考查了直线与圆锥曲线的综合应用问题,也考查了椭圆的标准方程及其几何性质,考查向量知识的运用,考查了一定的计算能力.
(2II)假设存在点M符合题意,设AB为y=k(x+1),代入椭圆方程可得关于x的一元二次方程,设A(x1,y1),B(x2,y2),M(m,0),由利用韦达定理,及
解答:解:(1)∵椭圆离心率为
∵椭圆过点(
∴
∴椭圆方程为
(2)在x轴上存在点M(
证明:假设在x轴上存在点M(m,0),使
∵直线L过点C(-1,0)且斜率为k,∴L方程为y=k(x+1),
代入方程E:x2+3y2=5,得(3k2+1)x2+6k2x+3k2-5=0;
设A(x1,y1),B(x2,y2),M(m,0),则x1+x2=-
∵
∴
设常数为t,则
整理得(3m2+6m-1-3t)k2+m2-t=0对任意的k恒成立,
∴
即在x轴上存在点M(
点评:本题考查了直线与圆锥曲线的综合应用问题,也考查了椭圆的标准方程及其几何性质,考查向量知识的运用,考查了一定的计算能力.
练习册系列答案
相关题目