题目内容
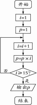
设计一个计算1×2×3×…×15的流程图.?
思路分析:需要一个累乘变量p和一个计数变量i,将p的初值设为1,i从1到15.?
解:流程图:?
![]()
温馨提示:当算法需要反复执行某一步骤时,就应选择循环结构.实现循环的方法通常是结合条件给一个起循环作用的计数变量反复赋值.
练习册系列答案
相关题目
题目内容
设计一个计算1×2×3×…×15的流程图.?
思路分析:需要一个累乘变量p和一个计数变量i,将p的初值设为1,i从1到15.?
解:流程图:?
![]()
温馨提示:当算法需要反复执行某一步骤时,就应选择循环结构.实现循环的方法通常是结合条件给一个起循环作用的计数变量反复赋值.